Объектив Sigma 16-300mm f/3.5-6.7 DC OS Contemporary Sony E
Sigma 16-300mm f/3.5-6.7 DC OS Contemporary – это объектив-суперзум для беззеркальных камер формата APS-C. Фокусное расстояние в 35-мм эквиваленте составляет 24-450 мм, что позволяет захватывать как широкие перспективы, так и отдельные интересные элементы пейзажа. Объектив хорошо подходит в качестве универсального – например, для съемки в путешествиях, когда вы не хотите отягощать себя большим набором техники. Он обладает хорошей способностью к съемке крупным планом: увеличение 1:2 в положении 70 (105) мм позволяет заниматься любительским макро, будь то съемка цветов, насекомых, украшений и так далее.
Современный линейный HLA мотор (High-response Linear Actuator) гарантирует быстрое и плавное наведение на резкость, позволяя с легкостью снимать, к примеру, птиц или спортивные соревнования на открытом воздухе. Sigma заявляет, что в этом объективе скорректирован эффект «дыхания фокуса»: при изменении дистанции фокусировки границы кадра почти не смещаются. Встроенный оптический стабилизатор с новейшими алгоритмами (OS2) компенсирует дрожание рук и раскачку корпуса с эффективностью 6 ступеней в широкоугольном положении и 4.5 ступени – на 300 мм (результаты по методике тестирования CIPA). Это особенно актуально для камер начального уровня, которые зачастую не оснащаются матричной стабилизацией изображения.
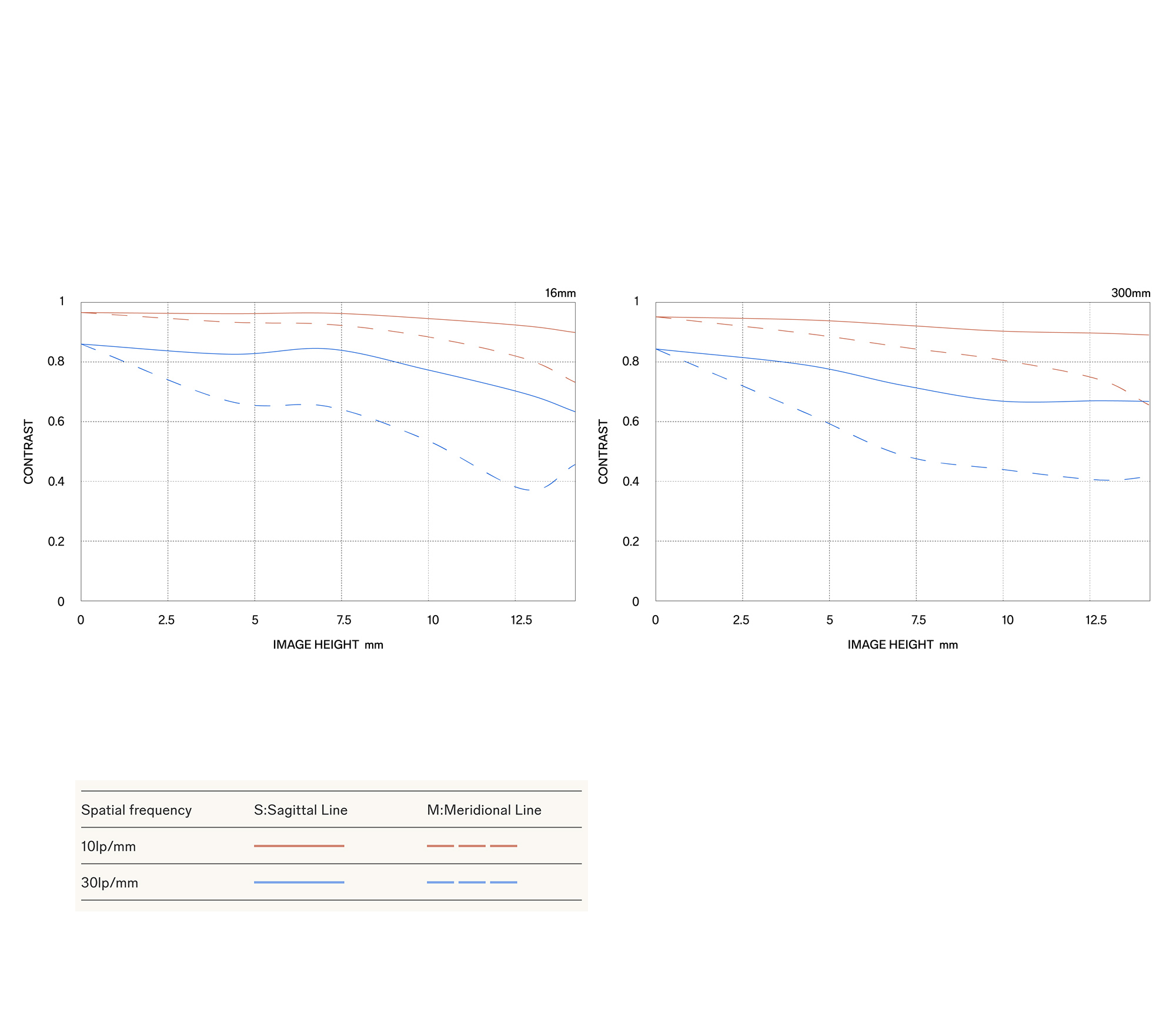
Объектив обладает довольно сложной оптической схемой со множеством специальных элементов: четырьмя асферическими и пятью низкодисперсионными. Это позволяет исправить значительную часть аберраций без цифрового вмешательства, однако мы рекомендуем все же не отключать электронные коррекции внутри камеры. Как можно видеть из графика MTF, резкостью в центральной части изображения находится на высоком уровне, затем постепенно снижается к краям: постарайтесь не располагать там значимые для сюжета элементы, особенно если снимаете с небольшого расстояния – на малой дистанции фокусировки резкость снижается сильнее. Суперзум-объективы всегда представляют собой определенный компромисс между удобством использования и качеством изображения, но результатов Sigma 16-300mm будет вполне достаточно для любительской фотографии – для социальных сетей его хватит с запасом.
Корпус объектива выполнен из термостабильного поликарбоната (TSC) и обладает базовой защитой от пыли и брызг, передняя линза покрыта водоотталкивающим и олеофобным просветлением. Байонет металлический, из хромированной латуни. В комплекте идет пластиковая бленда, которая защищает от появления бликов и ореолов при съемке с ярким контровым светом. Как и все объективы Sigma, 16-300mm f/3.5-6.7 DC OS Contemporary собирается в Японии, на заводе в Аидзу.
Характеристики
- Байонет: Sony E (APS-C)
- Фокусное расстояние: 16-300 мм
- Относительное отверстие: 1:3.5 - 1:6.7
- Минимальная диафрагма: 1:22 - 1:45
- Минимальная дистанция фокусировки: 0.17 м (широкий угол) - 1.05 м (теле)
- Угол поля зрения: 83.2° - 5.4° (диагональный)
- Конструкция объектива: 20 элементов в 14 группах, из них 4 асферических и 5 низкодисперсионных (4 SLD + 1 FLD)
- Диаметр светофильтра: 67 мм
- Число лепестков диафрагмы: 9
- Вес: 615 г
- Размеры: 73.8 х 123.4 мм
- Дата анонса: февраль 2025 г
- Комплектация: крышки передняя и задняя, бленда, мягкий чехол
- Страна производства: Япония
Оплачивайте покупки удобным способом. В интернет-магазине доступно 3 варианта оплаты:
- Наличные при самовывозе из розничного магазина Foto-one.
- Безналичный расчет при самовывозе или оформлении в интернет-магазине: карты МИР, Visa и MasterCard. Чтобы оплатить покупку, система перенаправит Вас на сервер системы ASSIST. Здесь нужно ввести номер карты, срок действия и имя держателя.
- СБП (QR-код) при онлайн-заказе или при оплате в розничном магазине. Для совершения покупки система перенаправит Вас на страницу платежного сервиса ASSIST.
В интернет-магазине доступно 2 варианта получения заказа:
- Курьерская доставка работает с 9.00 до 18.00. Когда товар поступит на склад, курьерская служба свяжется для уточнения деталей. Специалист предложит выбрать удобное время доставки и уточнит адрес. Осмотрите упаковку на целостность и соответствие указанной комплектации.
- Самовывоз из магазина Foto-one. Когда заказ поступит на склад магазина, Вам придет уведомление. Для получения заказа обратитесь к сотруднику в кассовой зоне и назовите номер заказа.

